Tras varios años de inviernos relativamente cálidos que han dificultado la acumulación de suficientes horas de frío para las frutas de hueso en el norte de Grecia, el invierno actual parece favorable para la producción de melocotones y nectarinas en Naousa, la región clave para estas frutas en Grecia, donde también se cultivan volúmenes importantes de cerezas, ciruelas y manzanas.
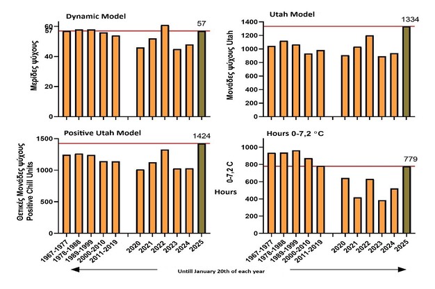
Pavlina Drogoudi, directora de Investigación del Departamento de Frutales de Hoja Caduca del Instituto Griego de Fitomejoramiento y Recursos Genéticos, menciona: "Estamos aproximadamente a mitad del invierno, y la acumulación de horas de frío es similar o superior a la de años 'fríos' anteriores, en los que se observó una producción normal". Los datos visualizados proporcionados por el instituto muestran una mayor acumulación de horas de frío que en temporadas anteriores, según todos los modelos de medición (véase el gráfico).

Drogoudi se muestra optimista respecto a lo que queda de invierno y a la consecución de las horas de frío necesarias restantes. En sus palabras, "dado que febrero suele ser el mes más frío, se espera que todas las variedades de frutales de hoja caduca cumplan sus requisitos de frío para romper la dormancia, y es probable que no se produzcan carencias de fruta por falta de frío invernal".
Sin embargo, a pesar de los buenos progresos realizados hasta la fecha, no es seguro que no vayan a surgir problemas. La científica griega advierte de que "los productores deben centrarse en abordar el riesgo potencial de daños por heladas primaverales. Las variedades con bajos requisitos de frío para la ruptura de la dormancia pueden florecer antes, durante el invierno, en condiciones de 'falsa primavera'. La resistencia al frío de las yemas disminuye gradualmente desde la ruptura de la dormancia hasta la floración y el cuajado".

Drogoudi sugiere a los productores que conozcan bien el historial de horas de frío de su región específica a la hora de decidir qué variedades plantar. "Para las nuevas plantaciones, los productores deben ser conscientes de que las variedades de frutales de hoja caduca con altos requisitos de frío (para la ruptura de la dormancia) suelen florecer más tarde, lo que reduce el riesgo de exposición a las heladas. Hay que tener cuidado, ya que las variedades con bajos requisitos de frío no son adecuadas para las regiones frías, pues pueden florecer antes de tiempo durante el invierno. Por lo tanto, no es aconsejable introducir en zonas donde se producen heladas variedades aclimatadas a regiones cálidas", concluye Drogoudi.
Para más información:
Pavlina Drogoudi
Departamento de Frutales de Hoja Caduca del Instituto Griego de Fitomejoramiento y Recursos Genéticos
Tel.: +30 233 204 1548
[email protected]
www.pomologyinstitute.gr